激光測距(Laser ranging)是最早在軍事上得到運用的激光技術,并且已經成為國防科研的重要課題之一。同時,激光測距也是激光測速、激光跟蹤、激光三維成像、激光雷達等高端技術的前提。

世界上第一臺激光器,是由美國休斯飛機(Hughes Aircraft)公司的科學家梅曼于1960年首先研制成功的,美國軍方很快就在此基礎上開展了對軍用激光裝置的研究。1961年,第一臺軍用激光測距儀通過了美國軍方論證試驗,此后激光測距儀很快就進入了實用環境中。20世紀七十年代,美國軍方的阿波羅計劃中,曾經使用激光測距技術測量地球與月球的距離,接收端使用的是雪崩光電二極管(APD)單光子探測器。

根據基本原理,實現激光測距的方法有兩大類:飛行時間(time of flight,TOF)測距和非飛行時間測距。其中,具體的常用方法有脈沖式激光測距法、三角激光測距法和相位式激光測距法。
一,相位式激光測距法
相位式激光測距通常適應于中短距離的測量,測量精度可達毫米、微米級,也是目前測距精度最高的一種方式,大部分短程測距儀都采用這種工作方式。
相位式測距則是將調制信號對發射光波的光強進行調制,通過測量相位差來間接測量時間,較直接測量往返時間的處理難度降低了許多。

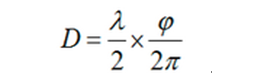
此時距離的計算公式可表示為:

式中—信號往返測距儀與目標之間一次所產生相位差為φ,λ為調制信號的波長。λ/2稱為測尺,即當相位變化為2π時所對應的距離。可以看出當選擇的調制頻率不同時,所能測到的最大距離是不同的。
在實際的單一頻率測量中,只能分辨出不足2π的部分而無法得到超過一個周期的測距值。對于采用單一調制頻率的測距儀,當選擇調制信號的頻率為100KHz時,所對應的測尺就為1500m,也即當測量的實際距離值在1500m之內時,得到的結果就是正確的,而當測量距離大于即比測尺大時,所測得的結果只會在1500m之內,此時就出現了錯誤。
所以,在測量時需要根據最大測程來選擇調制頻率。當所設計的系統測相分辨率一定時,選擇的測尺越小,所得到的距離分辨率越高,測量精度也越高。即在單一測尺的情況下,大測程與高精度是不能同時滿足的。
二,三角測距法
三角測距法即光源、被測物面、光接收系統三點共同構成一個三角形光路,由激光器發出的光線,經過匯聚透鏡聚焦后入射到被測物體表面上,光接收系統接收來自入射點處的散射光,并將其成像在光電位置探測器敏感面上,通過光點在成像面上的位移來測量被測物面移動距離的一種測量方法。

激光三角測距法具有結構簡單、測試速度快、使用靈活方便等諸多優點,但由于激光三角測距系統中,光接收器件接收的是待測目標面的散射光,所以對器件靈敏度要求很高。另外,如激光亮度高、單色性好、方向性強,在近距離的測量中較為容易測量出光斑的位置。因此三角法應用范圍主要是微位移的測量,測量范圍主要在微米、毫米、厘米數量級,已經研發的具有相應功能的測距儀,廣泛應用于物體表面輪廓、寬度、厚度等量值的測量,例如汽車工業中車身模型曲面設計等。
三,脈沖式飛行時間測距
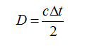
脈沖式飛行時間測距是激光技術最早應用于測繪領域中的一種測量方式。由于激光發散角小,激光脈沖持續時間極短,瞬時功率極大可達兆瓦以上,因而可以達到極遠的測程。一般情況下不使用合作目標,而是利用被測目標對光信號的漫反射來測距。測量距離可表示為:

式中D為所測量的距離,c為光在空氣中傳播的速度,Δt為光波信號在測距儀與目標往返的時間。
一般在非精密測量中,光在空氣中的傳播速度取真空中的3×108m/s(現代物理學通過對光頻率和波長的測量導出的精確值為2.99792458×108 m/s),若在精密測量中可參考空氣的狀態進行修正得到精確值。所以只要測得Δt的值就可以得到距離D。
脈沖激光的發射角小,能量在空間相對集中,瞬時功率大,利用這些特性可制成各種中遠距離激光測距儀、激光雷達等。目前,脈沖式激光測距廣泛應用在地形地貌測量、地質勘探、工程施工測量、飛行器高度測量、人造地球衛星相關測距、天體之間距離測量等方面。
另外,脈沖測距方法也可通過與其他手段結合,更好的提高測量范圍和測距精度,如:脈沖測距法與TCSPC技術相結合、脈沖啁啾調制、多頻率脈沖測距等。
四,探測器和光源
適用于激光測距的半導體光電探測器主要有以下幾種常見器件:

1,激光光源
測距時所采用的光源大都是近在紅外波段,因此采用的光源大都為870nm和905nm的脈沖激光器。
2,Hybrid device
Hybrid device將APD與TIA(跨阻放大器)集成到一起,保證了高頻率要求下的小型集成化需要,也是半導體集成化器件的發展方向。而光源主要是適應不同應用的環境的激光光源產品。
3,距離傳感器
距離傳感器(Distance sensor)是基于CMOS技術的新型測距器件,利用調制后的激光脈沖的脈寬確定最大量程,且通過一定時間的回波光電荷積累,該器件可以用相位測距的方法得到很高的測距精度,是一種新型的測距器件。線陣的距離傳感器可以同時測得一行目標的距離信息,而面陣的距離傳感器可以直接得到整個目標面的距離。這種新型器件在無人駕駛、機器人等需要近距離測距定位等應用方面有很高的使用價值。
4,MPPC(SiPM)
我們在選擇探測器時,高增益、大動態范圍以及快速時間響應為我們需要考慮的重要因素。APD與MPPC(硅光電倍增管,SiPM)的高增益決定了他們適合于中遠距離的測距用途,表面貼裝形式也可以更好的降低器件的成本。
同時MPPC具有更大的動態范圍,其中擁有小有效面積、多像素的MPPC結構有則更為凸顯,不僅可以對入射光子數進行分辨,同時也有較快的時間特性。MPPC用于測距,既可以利用它低工作電壓下即可達到的高增益特性,也可以利用它獨有的光子分辨能力,將不同表面反射率的物體識別出來,從而達到測距同時分辨物體表面特性的目的。

上文介紹的三種測距方法所使用到的探測器、光源既有不同,又有交疊。但相信MPPC(硅光電倍增管,SiPM)的出現,會將中遠距離測距推到一個新的高度。
Opto-Semiconductor Hybrid Devices.pdf
鄂公網安備 42011502001385號 鄂ICP備2021012849號